Desarrollo Colaborativo de Proyectos de Aprendizaje y Enseñanza de Tecnologías en la Nube
Deberás comenzar aceptando la tarea asociada a esta parte haciendo click en el enlace en la tarea correspondiente del campus con el texto “acepta la asignación de la tarea”. En cada una de los tareas de esta parte que requieren de la creación de un repositorio de trabajo encontrarás un enlace similar.
Esta tarea inicial ha sido configurada por el profesor como una tarea de equipo. Eso significa que cuando hagan click en la aceptación de la tarea les saldrá un formulario para elegir el nombre del equipo. En este caso el equipo será individual.
nombre-apellido1-apellido2-ullid.ana_maria-laza-perez-aluXXXXX usando un guión bajo.nombre-apellido1-ullid

asignatura-curso/nombredelatarea-nombredelequipo que los alumnos del equipo deberán usar para entregar la prácticaLa siguiente figura muestra un ejemplo de vista del profesor de una asignación de una tarea en equipo una vez que los alumnos la han aceptado y los equipos se han constituido:

Una vez creado el equipo y aceptada la asignación deberá aparecer despues de un momento la URL del repo recién creado. Si no aparece, refresque la página en el navegador. Se habrá creado un repo con una URL como esta
“https://github.com/ULL-MFP-AET-2324/aprender-markdown-nombre-apellido1-apellido2-aluXXXX”
En la tarea del campus simplemente escribes el enlace al repo de la tarea.
Para aprender markdown puedes consultar Mastering (GitHub) Markdown y para mas detalles consulta la guía de usuario Getting started with writing and formatting on GitHub
Acepta la asignación de esta tarea y en el repositorio creado en GitHub edita el fichero README.md y rellenalo con un breve e informal CV.
Incluye un trozo de código que ocupe varias líneas como este y asegúrate de que aprece coloreado:
function fancyAlert(arg) {
if(arg) {
$.facebox({div:'#foo'})
}
}
Incluye una tabla
| First Header | Second Header |
|---|---|
| Content from cell 1 | Content from cell 2 |
| Content in the first column | Content in the second column |
master.md (puedes crearlo usando el menu o bien visitando una ruta con la sintáxis https://github.com/:owner:/:repo:/new/main) en el que describas tu experiencia hasta ahora en este master y lo enlazas desde el fichero README.md.
master.md pon un enlace de vuelta al README.md
En la tarea entrega el enlace al repo con los contenidos de tu trabajo
Añade una fórmula matemática escrita en \(\LaTeX\)
Si escribes una fórmula matemática en latex y la rodeas de $$, el markdown de GH la mostrará como un bloque. Por ejemplo:
**The Cauchy-Schwarz Inequality**
$$\left( \sum_{k=1}^n a_k b_k \right)^2 \leq \left( \sum_{k=1}^n a_k^2 \right) \left( \sum_{k=1}^n b_k^2 \right)$$
Se ve:
The Cauchy-Schwarz Inequality
\[\left( \sum_{k=1}^n a_k b_k \right)^2 \leq \left( \sum_{k=1}^n a_k^2 \right) \left( \sum_{k=1}^n b_k^2 \right)\]Para incluir una expresión matemática en línea con su texto, delimite la expresión con un símbolo de dólar $. Por ejemplo:
This sentence uses `$` delimiters to show math inline: $\sqrt{3x-1}+(1+x)^2$
Se ve como esto:
This sentence uses $ delimiters to show math inline: \(\sqrt{3x-1}+(1+x)^2\)
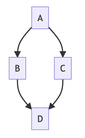
Puedes incluir diagramas en tus documentos usando mermaid. Por ejemplo:
```mermaid
graph TD;
A-->B;
A-->C;
B-->D;
C-->D;
```
que se verá como:

Ejemplo:
- [x] #739
- [ ] https://github.com/octo-org/octo-repo/issues/740
- [ ] Add delight to the experience when all tasks are complete :tada:
Se verá así:
Este ejemplo muestra también como escribir un emoji por nombre :tada:.
Mas información en Acerca de las listas de tareas
Hay múltiples formas de editar en la nube un repositorio GitHub. en estas notas recogemos estas alternativas:
GitHub Classroom es una aplicación web para los docentes que proporciona herramientas para la administración de cursos integradas con GitHub.
Un objetivo de esta lección/tarea es conseguir cierta familiaridad con los conceptos que conlleva Github Classroom: asignación, asignación individual, asignación de grupo, identificación del alumnado, rosters, etc.
Este video en YouTube “How to use VS Code to submit an assignment to Github Classroom (initially empty repository)”
muestra como deben hacer los estudiantes para aceptar, trabajar y entregar una tarea asignada con GHC usando el editor VS Code
Medidas de Actividad de los Alumnos para aprender-markdown